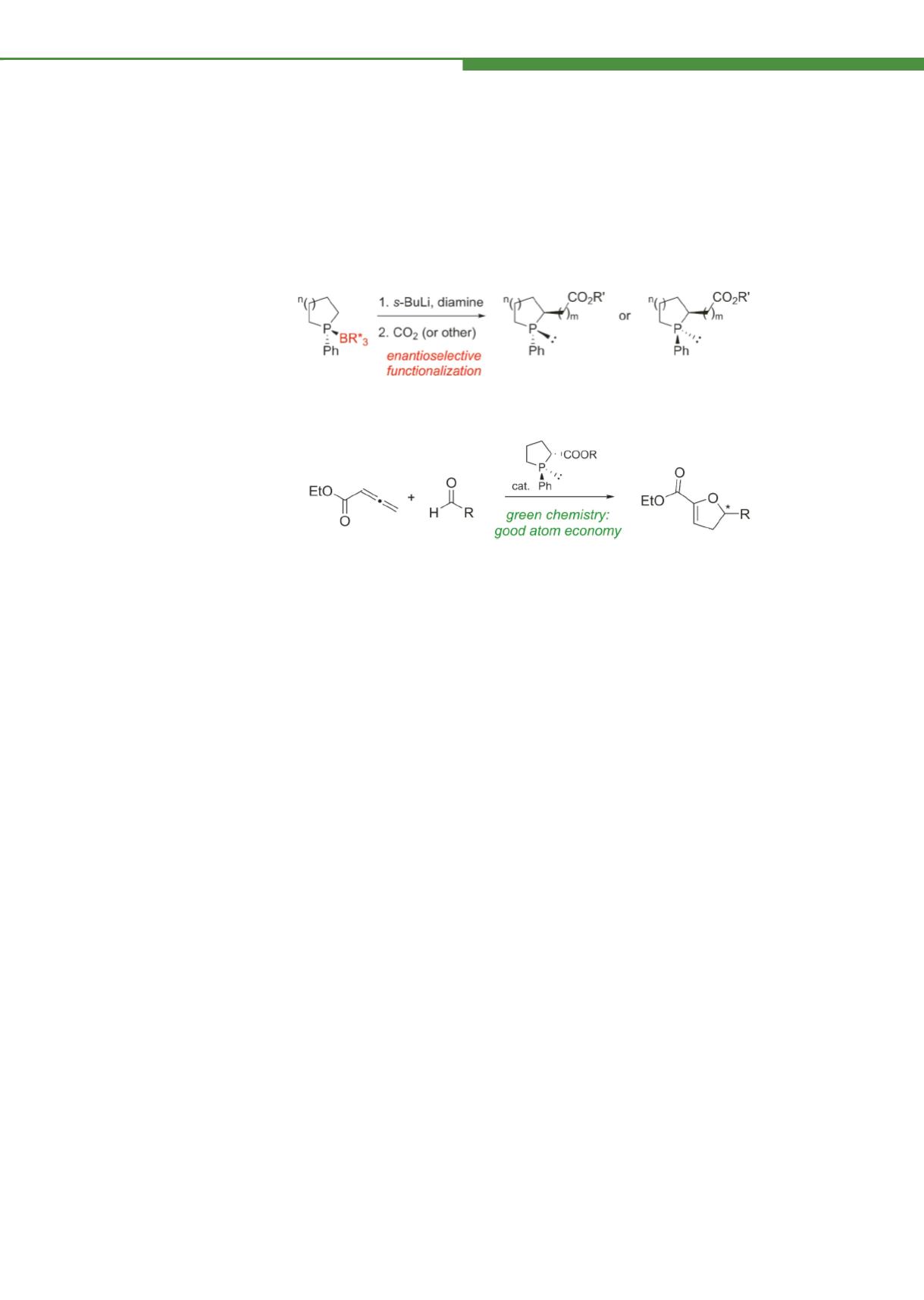
Abb. 2. Beispiele für neuartige
Katalysatoren, die in der AG
Vilotijević entwickelt werden.
Abb. 3. Ein Beispiel für eine
Kupplungsreaktion, die in der
AG Vilotijević optimiert wird.
FORSCHUNG — 45
trischen) nucleophilen Katalyse macht. Wir entwickeln
neuartige bifunktionelle Katalysatoren basierend auf dem
Phospha-Prolin-Gerüst, die die Nützlichkeit nucleophiler
organokatalytischer Prozesse erweitern und unübliche
Startmaterialien in solchen Prozessen einbinden werden.
Die Projekte, die momentan innerhalb der Gruppe bearbei-
tet werden, umfassen zahlreiche Themengebiete, begin-
nend von der Synthese Phospha-Prolin-basierter Katalsysa-
toren, deren Verwendung in der Entwicklung enantioselek-
tiver Reaktionen, bis zur Entdeckung neuer Reaktionstypen
basierend an der Wirkung der neuen Katalysatoren.
Wir untersuchen zurzeit einige Wege zur Darstellung
enantioangereicherter Phospha-Prolin-basierter Katalysa-
toren durch (i) klassische stereo-divergente Routen gefolgt
von den Auftrennung der Diastereomere und Enantiomere,
(ii) Routen, die auf enantioselektiver Deprotonierung der
Phosphor-Heterocyclen durch chirale Basen basieren sowie
(iii) Routen, die auf enantioselektiver Funktionalisierung
der Phosphor-Heterocyclen basieren, welche durch chirale
Boran-Schutzgruppen gerichtet werden (Abb. 2).
Die Wirksamkeit der neuartig dargestellten Phospha-
Prolin-basierten Katalysatoren wird im Laufe der Entwick-
lung enantioselektiver Reaktionen bewertet. Diese werden
typischerweise auf Basis der dargestellten Gerüste ausge-
wählt und zielen auf diejenigen Strukturmotive ab, die
häufig in Naturstoffen zu finden sind. Ein Beispiel für eine
Reaktion, die in unserer Gruppe gegenwärtig optimiert
wird, ist eine Phospho-Prolin-katalysierte Kupplung eines
Allenoats mit einem Aldehyd, welche in 5-substiuierten 2-3
-Dihydrofuranen resultiert (Abb. 3). Diese Reaktion erzeugt
hochsubstiuierte Tetrahydrofurane mit drei Stereozentren
nach dem Schema einer 1,4-Additon.
Wir nutzen den Vorteil der Bifunktionalität von Phos-
pha-Prolin-Katalysatoren aus und sind daran interessiert,
neuartige Reaktionen zu entwickeln, nichttraditionelle
Substrate in nucleophilen organokatalytischen Prozessen
einzubinden. Die Erforschung solcher Reaktionen ist eben-
so produktgesteuert, mit Interesse an Glycochemie und
der Synthese von Alkaloid-Gerüsten.
Eine der vorhergesehenen Anwendungen für die Phos-
pha-Prolin-Derivate, die wir synthetisieren, ist die Entwick-
lung neuartiger, chiraler Reagenzien zur enantioselektiven
elektrophilen Fluorierung, die in der Medizinalchemie und
Pharmaindustrie von Interesse sein wird. Im Bereich der
Organofluor-Chemie untersucht unsere Gruppe die Reakti-
vität von Alkinylfluoriden. Diese hochreaktiven Verbindun-
gen können vorübergehend dargestellt und in Cycloadditi-
ons-Reaktionen verwendet werden, die funktionalisierte,
aromatische Fluorverbindungen mit potentieller Anwen-
dung in der Medizinalchemie, Materialwissenschaft sowie
PET-Imaging liefern.
Zusammenfassend sind wir daran interessiert, die ge-
nannten Methoden zur Synthese von organischen Molekü-
len mit interessanten strukturellen, biologischen und phy-
sikalischen Eigenschaften zu verwenden. Unsere neu ent-
wickelten Methoden werden dabei die Grundlage bilden
für die Synthese biologisch aktiver Naturstoffe, dem Design
von Proben für die biomedizinische Forschung, der Medizi-
nalchemie und dem Drug Design, der Entwicklung neuer
diagnostischer und therapeutischer Ansätze sowie der
Entwicklung neuer Materialien.




